Giới thiệu
Nhiễu xạ tia X là một trong những kỹ thuật phân tích cấu trúc được sử dụng phổ biến để mô tả các vật liệu theo chức năng của nhiệt độ, môi trường và các điều kiện bên ngoài khác. Pha chuyển tiếp xảy ra khi vật liệu trải qua chu kỳ nhiệt (ở nhiệt độ cao hoặc nhiệt độ thấp) và cấu trúc tinh thể của chúng có thể khác nhau đáng kể dẫn đến các tính chất khác nhau của vật liệu.
Nhờ vào công nghệ dò thời gian thực của thiết bị Thermo Scientific ™ ARL ™ EQUINOX 100, người ta có thể thực hiện các phép đo nhiễu xạ tia X nhanh để nghiên cứu sự chuyển tiếp pha của các vật liệu ở nhiệt độ cao. Gần đây, với sự thiết kế nhỏ gọn của một buồng nhiệt độ cao, được tích hợp bên trong thiết bị và kết hợp với khả năng nhiễu xạ tia X mô hình đồng thời, việc nghiên cứu động lực học các chất ở nhiệt độ cao có thể tiến hành nhanh và thuận tiện hơn rất nhiều.
Bài viết này trình bày một ví dụ về nghiên cứu như vậy với ARL EQUINOX 100 kết hợp với bể Anton-Parr BTS500 để đưa ra một giải pháp hiệu quả về chi phí cho các nhà khoa học vật liệu.
Về thiết bị
Dòng sản phẩm Thermo Scientific ™ ARL ™ EQUINOX đại diện cho danh mục các thiết bị nhiễu xạ tia X (XRD) từ các hệ thống để bàn đơn giản dễ sử dụng để phân tích thường xuyên đến các hệ thống cấp cao, đứng đầu, hiệu năng cao, tiên tiến hơn.
Thermo Scientific ™ ARL ™ EQUINOX 100 sử dụng ống kính 50 W Cu thiết kế riêng hoặc ống kính 15 W Co hội tụ độ sáng cao có gương quang học không cần bể làm lạnh bằng nước bên ngoài. Thiết bị có thể được vận chuyển từ phòng thí nghiệm này sang phòng thí nghiệm khác hoặc sử dụng ngoài thực địa mà không yêu cầu bất kỳ cơ sở hạ tầng đặc biệt nào.
ARL EQUINOX 100 cung cấp bộ thu dữ liệu rất nhanh so với các máy đo nhiễu xạ khác do đầu dò vị trí cong độ nhạy cao (CPS) độc nhất, đo tất cả các đỉnh nhiễu xạ một cách đồng thời và trong thời gian thực.

Kết hợp ARL EQUINOX 100 với bể Anton Paar BTS500 đưa ra một thiết bị đo nhiễu xạ tia X với hiệu suất tối ưu cho các nghiên cứu động lực học. Với thiết kế vô cùng nhỏ gọn và yêu cầu công suất thấp (dưới 250 W), thiết bị có khả năng nghiên cứu sự chuyển tiếp pha và các phản ứng hóa học dễ dàng, kiểm soát toàn bộ quá trình và kết quả của đồng thời ARL EQUINOX 100 và bể BTS500 qua máy tính.
Để chứng minh hiệu suất của hệ thống, các nhà nghiên cứu đã thực hiện một thí nghiệm nhanh, ngắn hơn 3 giờ kể từ khi bắt đầu thí nghiệm đến khi thu được kết quả 3D.

Hình 1: Hình ảnh buồng BTS500 bên trong thiết bị ARL EQUINOX 100
Điều kiện thí nghiệm
Các nhà khoa học đã sử dụng bột RbNO3, được mua từ alfa aesar (mã sản phẩm 13496, độ tinh khiết 99%) đưa vào cốc đo truyền qua bằng niken trong buồng BTS500 cho những nghiên cứu này.
Sử dụng phần mềm Symphonix để chuẩn bị một lô chạy, như sau:
Điều này có nghĩa là nhờ vào việc dò đường cong sẽ cho phép thu được toàn bộ mẫu XRD trên 110° bất cứ khi nào, mỗi 2 phút nhà thử nghiệm sẽ nhận được một mẫu mới bao gồm dải góc tổng số. Nếu không có bất kì việc dừng nào, các nhà thử nghiệm sẽ thu được một mô hình mới sau mỗi 4°C.
Trên ARL EQUINOX 100, các nhà nghiên cứu sử dụng một minisource đồng kết hợp với SmartOptics, chạy ở tốc độ 36W (40 kV, 0.9 mA). Trong toàn bộ thử nghiệm, một màn hình hiển thị trực tiếp mẫu XRD đang diễn ra trong thiết bị.

Hình 2: Dạng RbNO3 điển hình thu được trong 2 phút ở nhiệt độ phòng
Kết quả
Rubidium nitrate được phát hiện có một số pha chuyển tiếp giữa nhiệt độ phòng và 310°C, nhiệt độ nóng chảy.
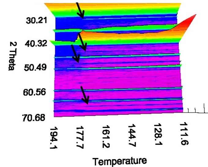
Tất cả các mẫu thu được từ nhiệt độ phòng lên đến 350°C được sử dụng để vẽ đồ thị (Hình ảnh được phóng to trong khoảng từ 20 đến 70° của 2θ là khoảng được quan tâm hơn, tuy nhiên có thể quan sát toàn bộ dải với máy xác định đường cong (curve detector)).

Hình 3: Các mẫu Rubidium nitrate thu được từ nhiệt độ lên đến 350°C
Nhận thấy rõ ràng là mẫu này thay đổi nhiều lần trong quá trình thử nghiệm.
Ở nhiệt độ phòng, rubidium nitrate có cấu trúc bậc ba tại nhiệt độ đến khoảng 160°C sau đó đột ngột chuyển sang cấu trúc khối lập phương.

Hình 4: Cấu trúc bậc ba của rubidium nitrate ở nhiệt độ khoảng 160°C
Quan sát kỹ hơn tại nhiệt độ 165°C, các nhà nghiên cứu thấy rằng các đỉnh nhỏ giữa các điểm cao hơn sẽ biến mất tại 170°C.

Hình 5: Mẫu Rubidium nitrate được lưu ở 181°C
Việc chuyển tiếp pha được trình bày ở đây xảy ra ở nhiệt độ cao hơn như đã báo cáo trong tài liệu, nhưng vì không có bất kỳ việc dừng nào xung quanh nhiệt độ chuyển pha, và thực tế là mẫu được làm nóng từ dưới đáy, và với các tia X, kết quả cho thấy phần trên cùng của bề mặt phải mất thời gian trước khi có thể quan sát được một cách hiệu quả trong các mẫu nhiễu xạ. Thử nghiệm được thực hiện ở đây cần được hiểu là một sàng lọc nhanh trước khi lặp lại các phép thí nghiệm khác với tốc độ chậm hơn nhiều so với nhiệt độ chuyển pha.
Ở nhiệt độ cao hơn, khoảng 250°C (ở 219°C trong tài liệu) các mẫu sẽ chuyển sang pha thứ hai. Nó rất rõ ràng vì có sự chuyển đổi từ dạng khối sang dạng rhombohedral.

Hình 6: Các mẫu nitơ Rubidium tại 250 ° C

Hình 7: Mẫu Rubidium nitrate được lưu ở 260°C
Kết luận
Với thiết bị ARL EQUINOX 100 được trang bị thêm buồng BTS500, các nhà khoa học có thể hiểu rõ 4 cấu trúc của RbNO3 trong vòng chưa tới 3 giờ và chỉ với 10 cú chuột nhấp chuột.
Bước nghiên cứu được đề xuất tiếp theo là gia nhiệt nhanh trong khoảng nhiệt độ chuyển pha, sau đó ghi lại mẫu sau mỗi độ để thu được những quan sát rõ nét ở nhiệt độ chính xác của quá trình chuyển pha.

Hình 8: Mẫu Rubidium nitrate được lưu ở nhiệt độ khác nhau
Để được tư vấn và biết thêm thông tin chi tiết, xin vui lòng liên hệ:
Công ty TNHH Sao Đỏ Việt Nam
Email: info@redstarvietnam.com