Công ty TNHH Sao Đỏ Việt Nam

Icons giỏ hàng Giỏ hàng 0
Tổng : 0 đ
Trang chủ  /  Tin tức  /  Phân tích & Thí nghiệm

Phân tích khí bay hơi và động học của axit axetylsalicylic

1.872 lượt - 17-01-2020, 4:57 pm

Mô tả 

Máy phân tích nhiệt trọng-khối phổ (TG-MS) là một hệ thống phân tích quan trọng để nghiên cứu sự phân hủy nhiệt, hàm lượng H2O và quá trình phản ứng dưới nhiệt độ nhất định.

 

Trong thí nghiệm này, chúng tôi đã phát hiện ra các khí bay hơi từ axit acetylsalicylic khi gia nhiệt bằng ThermoMass Photo. Hơn nữa, chúng tôi đã ước tính được năng lượng kích hoạt và thời gian phản ứng.

 


Thiết bị

ThermoMass Photo

 

ThermoMass Photo là một hệ thống đo lường linh hoạt dành cho phân tích nhiệt trọng - phân tích nhiệt vi sai (TG-DTA) và quang ion hóa khối phổ (PIMS). Trong hệ thống này, sự thay đổi trọng lượng, hiện tượng thu nhiệt hoặc tỏa nhiệt và khí bay hơi có thể được phân tích đồng thời. Do đó, Thermo Mass Photo được coi là một công cụ phân tích đầy hứa hẹn cho nghiên cứu nền tảng, quản lý chất lượng và phát triển các vật liệu mới.

 

Thermo Mass Photo có một giao diện độc đáo, được gọi là giao diện skimmer, giúp chuyển khí hiệu quả. Chúng ta có thể chọn quang ion hóa (PI) cũng như ion hóa điện tử (EI) trên máy quang phổ khối. Sự kết hợp giữa PI và EI cho phép chúng ta xác định các loại khí dễ dàng.

 


Thử nghiệm

4mg Axit axetylsalicylic được cho vào đĩa mẫu và đun nóng ở 20 ºC / phút trong môi trường He. Phản ứng được theo dõi bởi TG, DTA và MS trong ThermoMass Photo.

 

Phép đo này được lặp lại với sự thay đổi tốc độ gia nhiệt ở 5, 10, 15 và 20 ° C / phút để phân tích động học.

 


Kết quả và thảo luận

 Khi đun nóng axit acetylsalicylic trong môi trường trơ ​​của He, hai bước giảm khối lượng đã được thể hiện trong hình. 1.

 

Hình 1: Hồ sơ TG-TDA và biểu đồ ion nhiệt MS của axit acetylsalicylic

 

Trong phạm vi nhiệt độ của lần giảm khối lượng đầu tiên (120-250 ºC), chúng tôi đã quan sát thấy hai đỉnh nhiệt ở 144 và 188 ºC trong đường đồ thị DTA. Ngoài ra, chúng tôi đã phát hiện các ion axit salicylic, axit acetylsalicylic và axit axetic trong MS. Đỉnh nhiệt ở 144 ºC được cho là do phản ứng tổng hợp axit acetylsalicylic.

 

Đỉnh ở 188 ºC được coi là do sự thăng hoa hoặc bay hơi của axit acetylsalicylic và sự phân hủy nhiệt, tạo ra axit salicylic và axit axetic.

 

Trong phạm vi nhiệt độ của lần giảm khối lượng thứ hai (250-400 ºC), chúng tôi đã quan sát thấy đỉnh nhiệt ở 357 ºC trong DTA và ion phenol trong MS. Phenol được tạo ra bởi sự phân hủy nhiệt.

  

Hình dạng đường cong của phân tích nhiệt phụ thuộc vào điều kiện gia nhiệt phản ánh động học của phản ứng. Thông tin này đã được sử dụng để ước tính độ phản ứng và độ ổn định của vật liệu, chẳng hạn như tuổi thọ. Nhìn chung, đường cong TG đã được áp dụng để phân tích động học. Tuy nhiên, đường cong TG không phù hợp nếu nhiều phản ứng xảy ra trong cùng một phạm vi nhiệt độ, chẳng hạn như lần giảm khối lượng đầu tiên trong phép đo này. Chúng tôi khuyến nghị nhiệt độ được sử dụng để phân tích động học của nhiều phản ứng. Phân tích này thu lại thông tin cụ thể về các sản phẩm phản ứng.

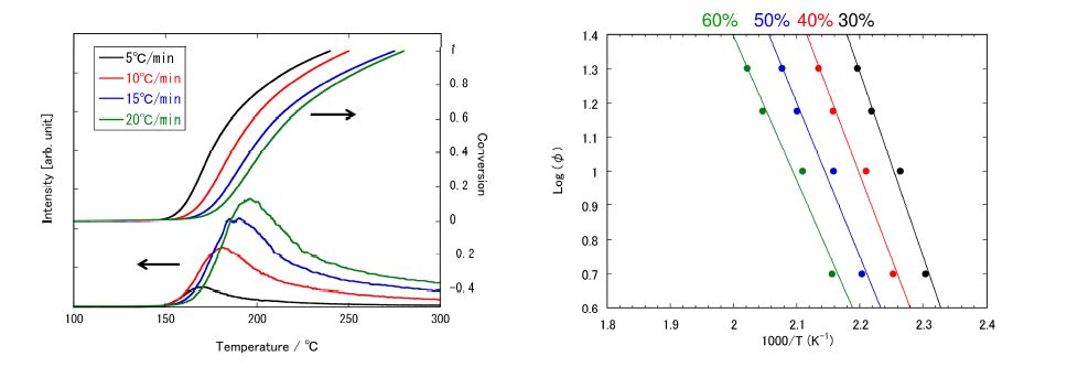
Hình 2: Biểu đồ ion nhiệt MMS của m/z 138 (PI) và hồ sơ chuyển đổi

Hình 3: Biểu đồ Flynn-Wall-Ozawa cho axit salicylic thường gặp

 

Năng lượng hoạt hóa của phản ứng tạo ra axit salicylic được tính từ biểu đồ nhiệt MS ion của ion m/z 138 trong PI, tương ứng với ion phân tử của axit salicylic. Hình 2 cho thấy biểu đồ nhiệt ion MS của m/z 138 với sự thay đổi tốc độ gia nhiệt. Ngoài ra, tốc độ phản ứng thu được từ cường độ tín hiệu cũng được hiển thị trong Hình 2. Tốc độ phản ứng xây dựng mô hình Flynn-Wall-Ozawa như trong Hình 3. Năng lượng kích hoạt là 89kJmol-1 ở tốc độ phản ứng 40%, trong đó axit salicylic được tạo ra tối đa. Chúng tôi có thể ước tính thời gian phản ứng là 6849 giờ (285 ngày) cho tốc độ phản ứng này ở 25 ºC.

  

**************************************************************************

Để được tư vấn và biết thêm thông tin chi tiết, xin vui lòng liên hệ:

Công ty TNHH Sao Đỏ Việt Nam

Email:  info@redstarvietnam.com

URL:   www.redstarvietnam.com

 

 

  

Tin liên quan